Home
Materials
▼
Neodymium NdFeB Magnets
Ferrite Magnets
Samarium Cobalt SmCo Magnets
Alnico Magnets
Assemblies
▼
Automotive Magnet Assemblies
Industrial Magnetic Tools
Technology
▼
Standards
Technical Centre
Products
▼
Neodymium NdFeB Magnets
▶
Neodymium NdFeB Magnets Disks
Neodymium NdFeB Magnets Square
Neodymium NdFeB Magnets Rings
Ferrite Magnets
▶
Ferrite Square Magnets
Ferrite Magnets Cylinder
Contact
About
Search
Home
Materials
▼
Neodymium NdFeB Magnets
Ferrite Magnets
Samarium Cobalt SmCo Magnets
Alnico Magnets
Assemblies
▼
Automotive Magnet Assemblies
Industrial Magnetic Tools
Technology
▼
Standards
Technical Centre
Products
▼
Service
▼
Contact us
Download
About
▼
About us
Sustainability
HR
TECHNICAL CENTER
HOME
>
TECHNICAL
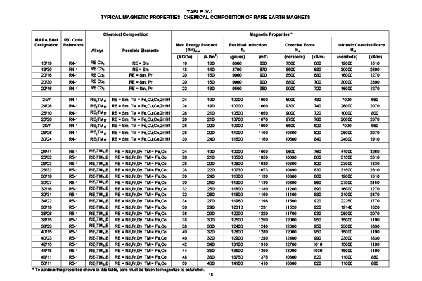
Magnetic Characteristics
Click on the link to view or download the detailed material specifications
Alnico Magnets
Bonded-NdFeB (General)
Sintered-NdFeB
SmCo Magnets
Bonded-NdFeB (Seiko)
Ferrite Magnets
MMPA Standard
Alnico-MMPA
Ferrite-MMPA
Rare Earth Magnets
Stnd. No. 0100-00